Ответы
Ответ дал:
2
Пошаговое объяснение:
..................................
Приложения:

Аноним:
некто не будет тебе ответ на вопрос давать
Ответ дал:
1
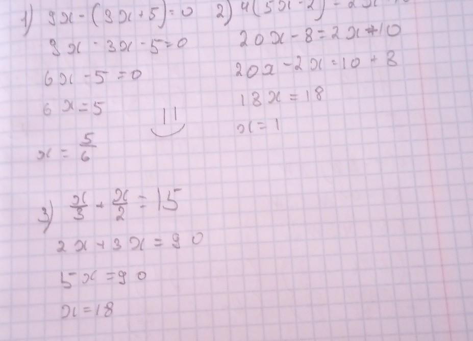
Ответ:
а) 5/6.
б) 1.
В) 18.
Пошаговое объяснение:
а)
9х - (3х + 5) = 0
9х - 3х - 5 = 0
9х - 3х = 5
6х = 5
х = 5/6
б)
4(5х - 2) = 2х + 10
20х - 8 = 2х + 10
20х - 2х= 10 + 8
18х = 18
х = 18 : 18
х = 1
В)
х/3 + х/2 = 15
х*2/3*2 + х*3/2*3 = 15*6/1*6
2х/6 + 3х/6 = 90/6
(Домножаем дроби на знаменатель, знаменатель сокращается)
2х + 3х = 90
5х = 90
х = 90/5
х = 18.
Вас заинтересует
2 года назад
2 года назад
2 года назад
2 года назад
8 лет назад
8 лет назад
9 лет назад