Ответы
Ответ дал:
4
Ответ:
Так как а=-0.5 то подставим и получим
-3,4(5×(-0.5)-2)+(-1,2-3×(-0.5))-4(2,2×(-0.5)+1)=15.3-0.3-0.1=14,9
darishasidash:
Почему-то неверно
Ответ дал:
1
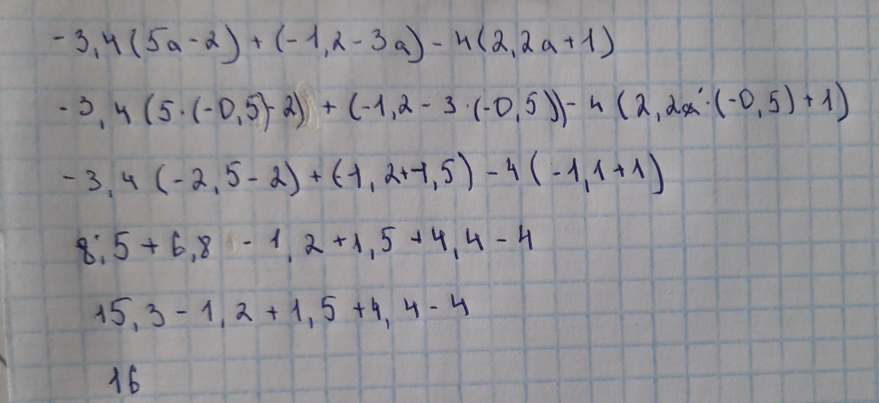
Ответ:
16
Объясните:
_________________
Приложения:

Вас заинтересует
2 года назад
2 года назад
2 года назад
2 года назад
8 лет назад
8 лет назад
9 лет назад