• Предмет: Алгебра
  • Автор: Аноним
  • Вопрос задан 7 лет назад

Найдите значение выражения. Корни. 80 баллов

Приложения:

Ответы

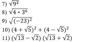
Ответ дал: manyny06
1

Ответ:

решение смотри на фотографии

Приложения:
Вас заинтересует