• Предмет: Математика
  • Автор: zhakovserzh
  • Вопрос задан 7 лет назад

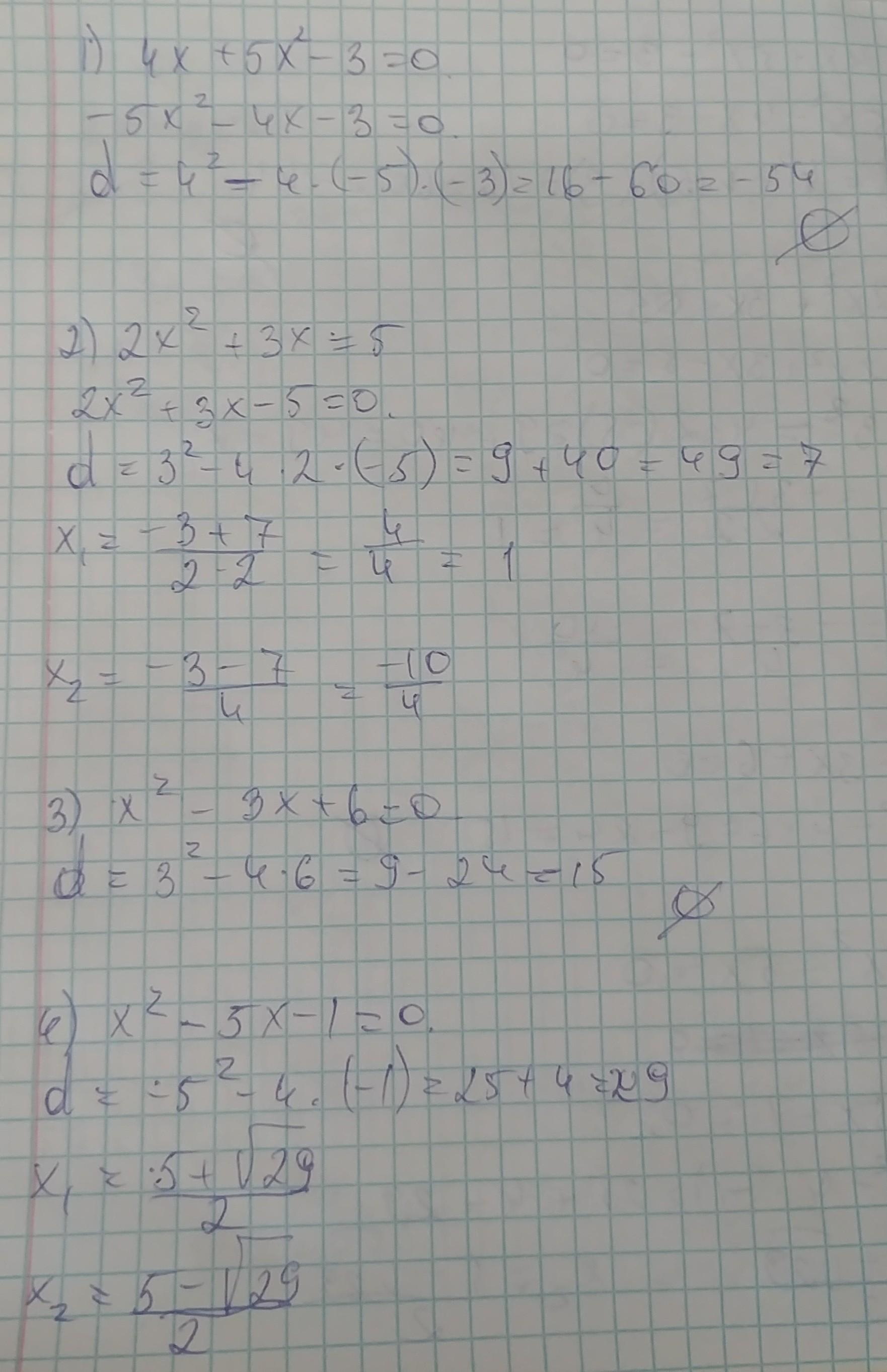
Решите пж срочро /!!! /! //! ДАЮ 15!!!!!!!

Приложения:

Ответы

Ответ дал: mmadinaomon
0

..........извиняюсь за почерк!

Приложения:
Вас заинтересует