Ответы
Ответ дал:
4
Пошаговое объяснение:
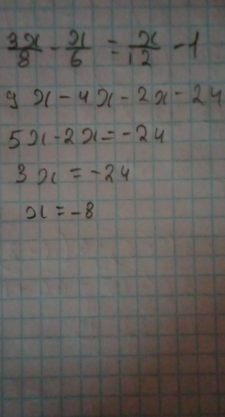
я не писала 1 ряд....б.............
Приложения:

k11t6287:
А то думол их 8;6;12 объеденяет число 2
Вас заинтересует
2 года назад
2 года назад
2 года назад
2 года назад
8 лет назад
8 лет назад
9 лет назад