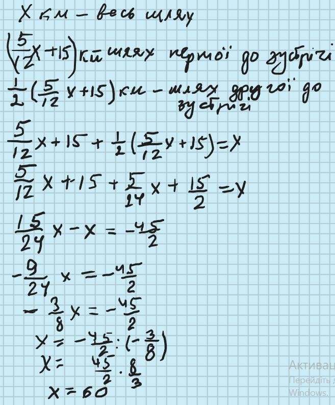
Дві вантажівки виїхали од ночасно з двох міст назустріч одна одній. До моменту зу стрічі одна з них пройшла 5/12 усього шляху і ще 15 км. i а iнша - половину відстані, пройденоï першою. Знайдіть відстань між містами? СРЧОНОООООО ПЖЖ
Ответы
Ответ дал:
0
Ответ: 60 км
Объяснение:
Приложения:

tkacenkoalina40:
допоможіть будь ласка завдання в профілі
Ответ дал:
0
пусть весь путь х км, первая машина проехала (5х/12+15), а вторая
(1/2)( (5х/12+15); значит, их путь
(5х/12+15)+(1/2)( (5х/12+15)=х
(3/2)( 5х/12+15)=х
5х/12+15=2х/3
5х+15*12=8х
3х=15*12
х=15*12/3
х=5*12
х=60
значит, расстояние между городами 60 км
Ответ 60 км
https://znanija.com/task/48840500?utm_source=android&utm_medium=share&utm_campaign=question
Вас заинтересует
2 года назад
2 года назад