Ответы
Ответ дал:
1
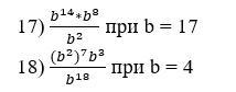
17)
При b =17
18)
При b = 4
Примечание: в 17 получился очень странный ответ, видимо составитель задания ошибся и выражение нельзя красиво сократить.
Ответ дал:
1
решение на фото прости что немного некрасиво
18 ) 1/4 = 0.25
Приложения:

Вас заинтересует
2 года назад
2 года назад
2 года назад
2 года назад
8 лет назад
8 лет назад
9 лет назад