• Предмет: Физика
  • Автор: maggielindemannrk
  • Вопрос задан 7 лет назад

!!!!!!!!!ДАЮ 50 БАЛОВ!!!!!!!!
1.
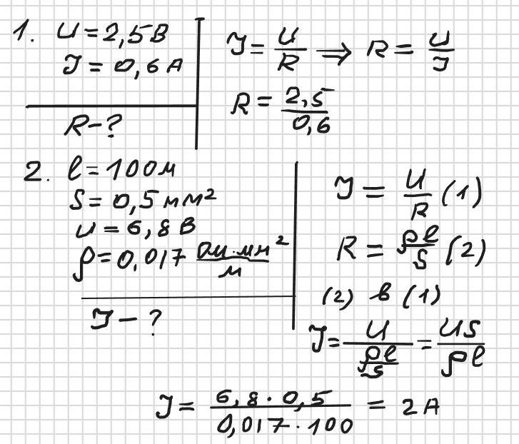
Який опір спіралі лампочки кишенькового ліхтаря, якщо на ньому написано "0,6 А;2,5 В"
2.
Обчисліть силу струму, що проходить по мідному провіднику довжиною 100 м, площею поперечного перерізу 0,5 мм2, якщо до кінців проводу прикладена напруга 6,8 В.​

Ответы

Ответ дал: zybkov1950
0

Ответ:1. 4,17 Ом         2.  2А

Объяснение:

Приложения:
Вас заинтересует