Ответы
Ответ дал:
0
Ответ:
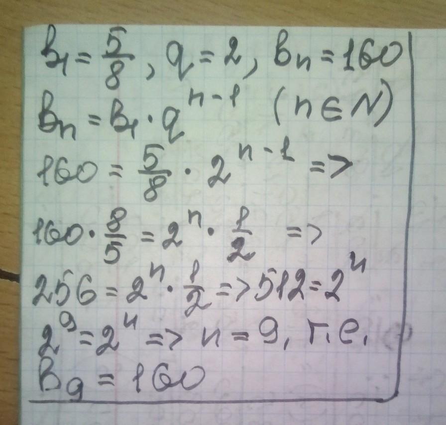
решение смотри на фотографии
Приложения:

Ответ дал:
0
Ответ:
решение на фото
Объяснение:
Приложения:

Вас заинтересует
2 года назад
2 года назад
8 лет назад
9 лет назад