Ответы
Ответ дал:
0
файл
=======================
Приложения:

Ответ дал:
0
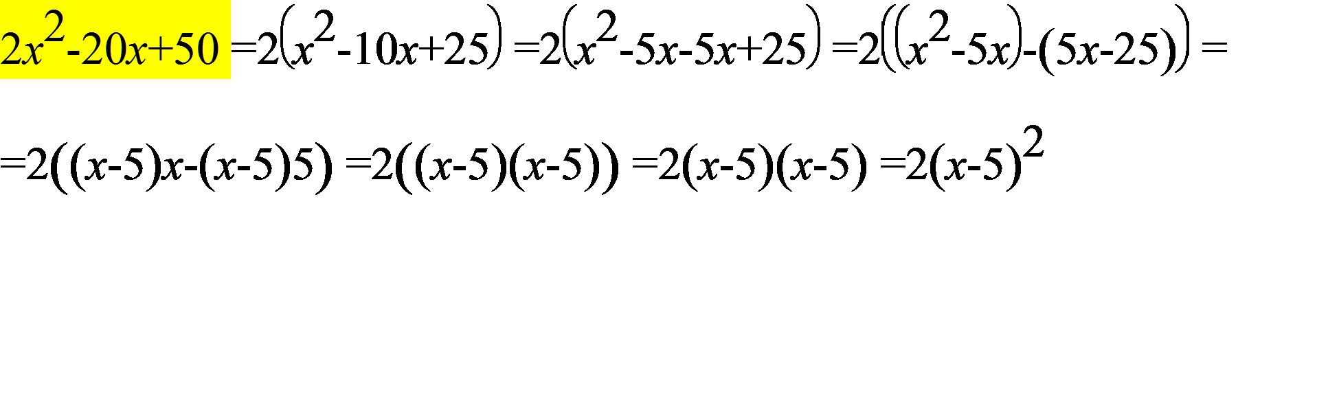
2х(в квадрате)-20х+50=0
D=400-400=0 один корен
Приложения:

Вас заинтересует
8 лет назад
8 лет назад
10 лет назад
10 лет назад
10 лет назад