• Предмет: Алгебра
  • Автор: ewarper
  • Вопрос задан 7 лет назад

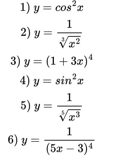
Найдите первообразные данных функий:

Приложения:

Ответы

Ответ дал: Мишкабаянов
1

Решение на фото

\\\\\\\\\\\\

Приложения:
Вас заинтересует