Ответы
Ответ дал:
1
Ответ:
Смотри решение на фото..
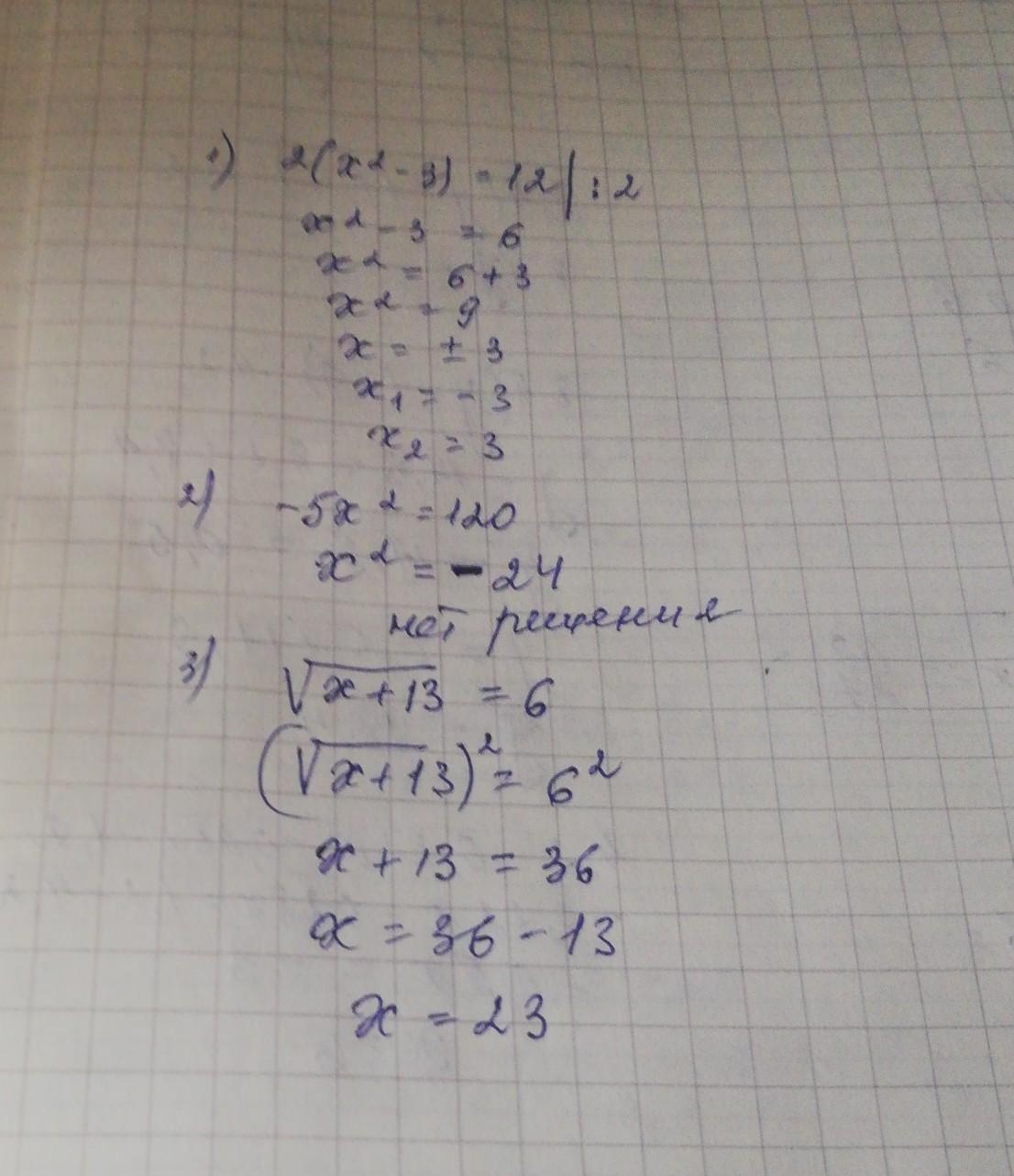
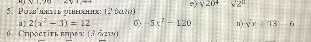
Приложения:

Вас заинтересует
2 года назад
2 года назад
8 лет назад
9 лет назад