• Предмет: Алгебра
  • Автор: Neyzka
  • Вопрос задан 7 лет назад

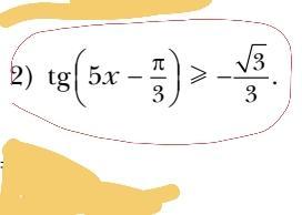
Решить неравенство. ПОМОГИТЕ. С полным решением.

Приложения:

Ответы

Ответ дал: hote
0

\displaystyle tg(5x-\frac{\pi }{3})\geq -\frac{\sqrt{3}}{3}\\\\\frac{\sqrt{3}}{3}=\frac{1}{\sqrt{3}}\\\\-\frac{\pi }{2}+\pi n < 5x-\frac{\pi }{3}\leq-\frac{\pi }{6}+\pi n; n\in Z\\\\-\frac{\pi }{2}+\frac{\pi }{3}+\pi n < 5x\leq -\frac{\pi }{6}+\frac{\pi }{3}+\pi n; n\in Z\\\\-\frac{\pi }{6}+\pi n < 5x\leq \frac{\pi }{6}+\pi n; n\in Z\\\\-\frac{\pi }{30}+\frac{\pi n}{5} < x\leq \frac{\pi }{30}+\frac{\pi n}{5}; n\in Z

Вас заинтересует