• Предмет: Математика
  • Автор: lalakoskina264
  • Вопрос задан 7 лет назад

СРОЧНО СРОЧНО СРОЧНО
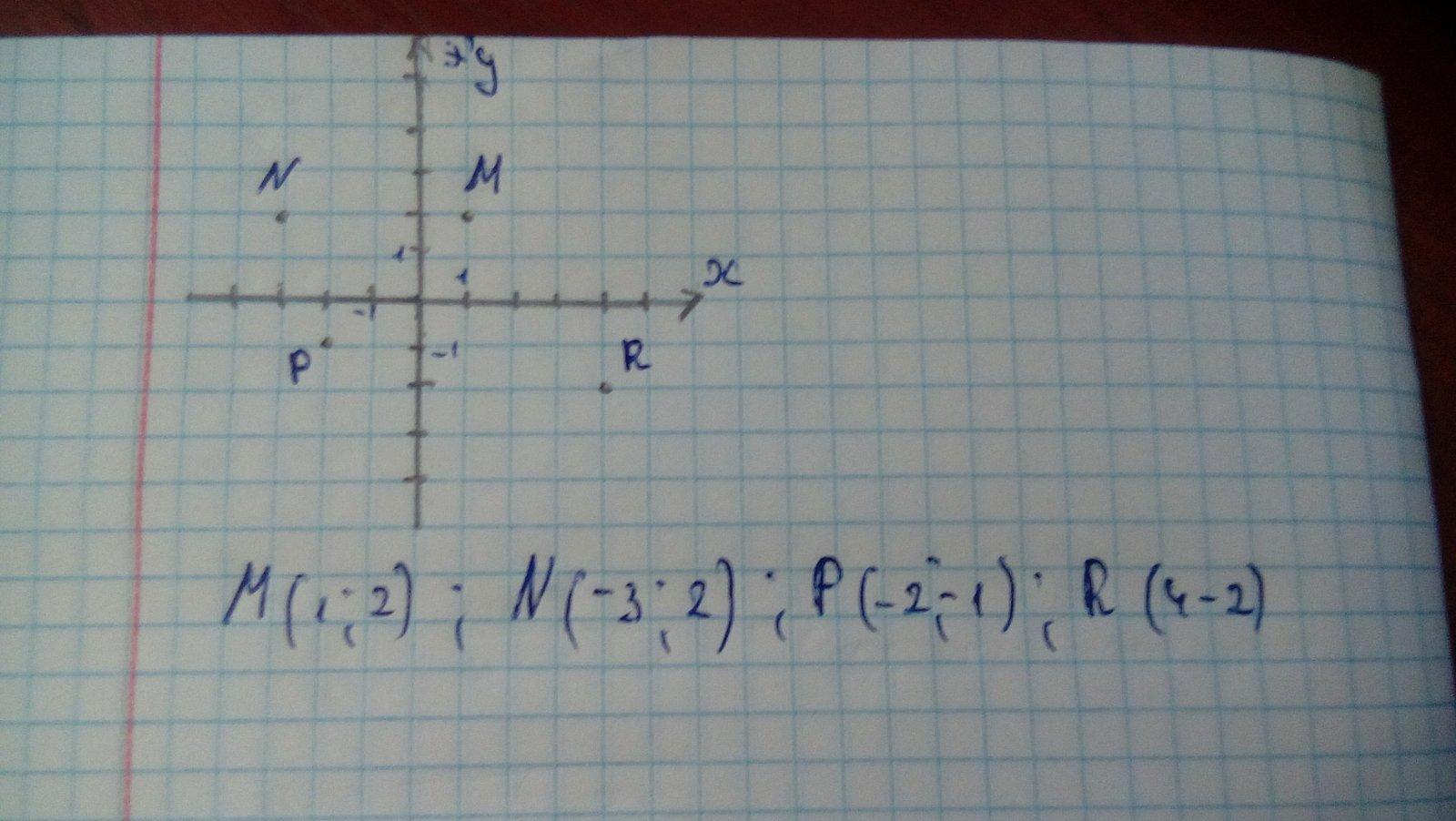
Задан рисунок.



Запишите координаты точек, указанных на рисунке (12 баллов).


Укажите точки, которые лежат во второй координатной четверти (5 баллов).


Изобразите координатную плоскость и отметьте на ней точки M (1; 2), N (–3; 2), P (–2; –1), R (4; –2)

Приложения:

Dmutro2512: 3 я не буду робити

Ответы

Ответ дал: venfar
5

Ответ:

1. A(3; 4), B(-3; 2), C(2; -3), D(0; 5), F(-4; 5), E(-6; 0)

2. B и F

Пошаговое объяснение:

Ответ дал: Dmutro2512
12

Відповідь:

1) D(0; 5); A(3; 4); C(2; -3); E(-6; 0); B(-3; 2); F(4; 5)

2) F(4; 5); B(-3; 2)

3) на рисунку

Приложения:

Dmutro2512: Можна лучший отве, с коронкой)
lalakoskina264: ОК
liubimovaelena121277: спасибооооо‍‍‍‍‍ я девочка если что ❤️❤️❤️❤️❤️
Dmutro2512: Всегда пожалуста)
bbiss0606: а как В и N на одном месте?
Dmutro2512: Всм?
Вас заинтересует