• Предмет: Физика
  • Автор: Аноним
  • Вопрос задан 7 лет назад

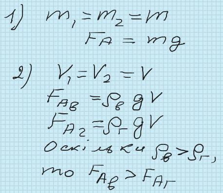
Срочно дам 50 баллов! Одна з двох однакових кульок плаває у воді, друга — у гасі. Порівняй сили Архімеда, що діють на кульки. Обґрунтуй свою відповідь.​

Ответы

Ответ дал: zybkov1950
3

Ответ: 1) Якщо на поверхні , то сили  Архімеда однакові;

2) Якщо всередині рідин, то сила  Архімеда у воді більша

Объяснение:

Приложения:
Вас заинтересует