• Предмет: Алгебра
  • Автор: Its026
  • Вопрос задан 7 лет назад

Алгебра 20
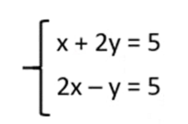
Реши систему уравнений.

Варианты ответа:
1) (5;1)
2) (3;1
3) (5;2)
4) (3;-1)

Приложения:

Ответы

Ответ дал: HikigayaHachiman
0

Ответ:

1) (5;1)

Объяснение:

Просто выводил в уме сначало х, потом подставлял. Тоже самое делал с у

Ответ дал: alina4kakykarela
0

Ответ:

2)3+2×1=5

2×3-1=5

Объяснение:остальное не правильно!

Вас заинтересует