• Предмет: Математика
  • Автор: lput36380
  • Вопрос задан 7 лет назад

Помогите пожалуйчта кто нибудь обизательно с решениями это дз не оброщайте внимание на ответы но решите с решениями!!!!!!!! Кто нибудь поможет мне????(

Приложения:

lput36380: Кто нибудь

Ответы

Ответ дал: jd25rm
1

Пошаговое объяснение:

Вот надеюсь помог с решением

Приложения:
Ответ дал: KoTaSs
1

Пошаговое объяснение:

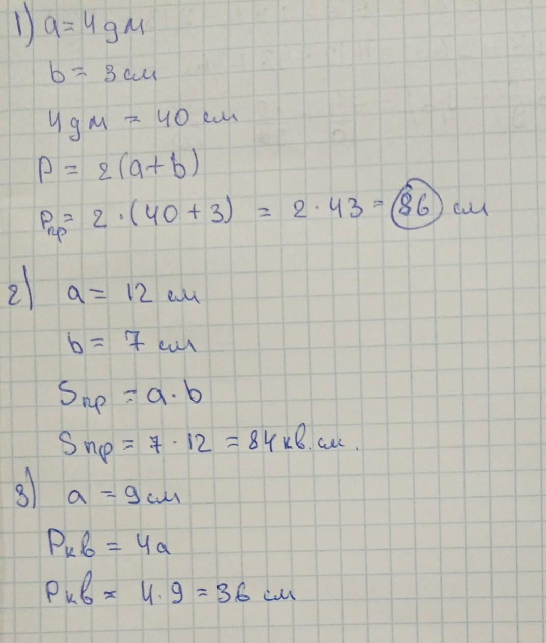
1. P = (a + b) * 2 - формула периметра прямоугольника

4дм = 40см

P = (40 + 3) * 2 = 86 см

2. S = a * b - формула площади прямоугольника

s = 12 * 7  = 84 кв.см

3. P = a * 4 - формула периметра квадрата

P = 9 * 4 = 36 см

4. S = a * b - формула площади прямоугольника

b = 6 см(так как 18/3 = 6 см)

S = 18 * 6 = 108 см.кв

5. P = (a + b) * 2 - формула периметра прямоугольника

b = 28 - 8 = 20 см

P = (28 + 20) * 2 = 96 см

6. P = a * 4 - формула периметра квадрата

24 = x * 4

24/4 = x

x = 6см

S = a × a - формула площади квадрата

S = 6 * 6 = 36 кв.см

7. P = a * 4 - формула периметра квадрата

60 = x * 4

60/4 = x

x = 15 см

8. P = (a + b) * 2 - формула периметра прямоугольника

40 = (15 + x) * 2

40 = 30 + 2x

10 = 2x

x = 5 см(длина другой стороны)

9. P = (a + b) * 2 - формула периметра прямоугольника

48 = (a + 8) * 2

48 = 2a + 16

32 = 2a

a = 16 см

S = a * b - формула площади прямоугольника

S = 16 * 8 = 128 кв.см

10.

b(ширина) = 5/8 от длины = 500 метров

P = (a + b) * 2 - формула периметра прямоугольника

P = (800 + 500) * 2 = 2600 метров

Вас заинтересует