• Предмет: Математика
  • Автор: ti007
  • Вопрос задан 7 лет назад

сделаете только 4 пример !!!!!​

Приложения:

Ответы

Ответ дал: roninnnn
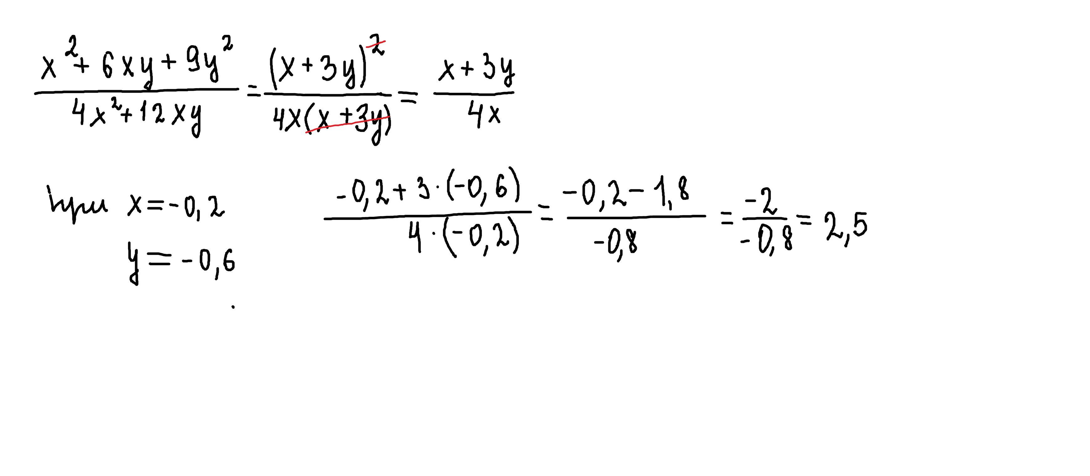
1

Відповідь:

2.5

Покрокове пояснення:

\frac{(x+3y)^2}{4x(x+3y)}= \frac{x+3y}{4x}

Если x=-0.2;y=-0.6,то

\frac{-0.2+3*(-0.6)}{4*(-0.2)} =\frac{-0.2-1.8}{-0.8}=\frac{-2}{-0.8}=2.5

Ответ дал: parus77
1

Ответ:

2,5

Пошаговое объяснение:

решение  смотри внизу

Приложения:
Вас заинтересует