• Предмет: Математика
  • Автор: Аноним
  • Вопрос задан 7 лет назад

Виконайте все завдання,я поспішаю,чекаю відповіді!
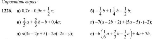
(Завдання знизну на картинці

Приложения:

Ответы

Ответ дал: tatsach
0

Ответ:

Пошаговое объяснение:

Приложения:
Вас заинтересует