• Предмет: Математика
  • Автор: bigsmoke87
  • Вопрос задан 7 лет назад

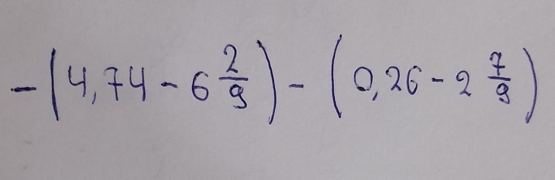
решите пожалуйста прошу​

Приложения:

Ответы

Ответ дал: annacheshenko1408
0

Ответ:

ответ будет: 4

если есть проблемы с матешой то прилодение: photomath

Ответ дал: Figop
1

Ответ:

4

Пошаговое объяснение:

-4,74+ 6 2/9 -0,26+ 2 7/9=-4,74 - 0,26+ 56/9 + 25/9=-5 + 81/9=-5 +9=4

Вас заинтересует