• Предмет: Геометрия
  • Автор: Помогите1234
  • Вопрос задан 3 года назад

Как найти площадь равнобедренной трапеции, если известны два основания и периметр?

Ответы

Ответ дал: dancinggirl96
5
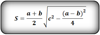
S= (a+b)/2 * h где а и b - основания, h- высота 
или же через стороны (см. рис) где из периметра можно найти С
Приложения:
Вас заинтересует