Решите пожалуйста срочно надо.
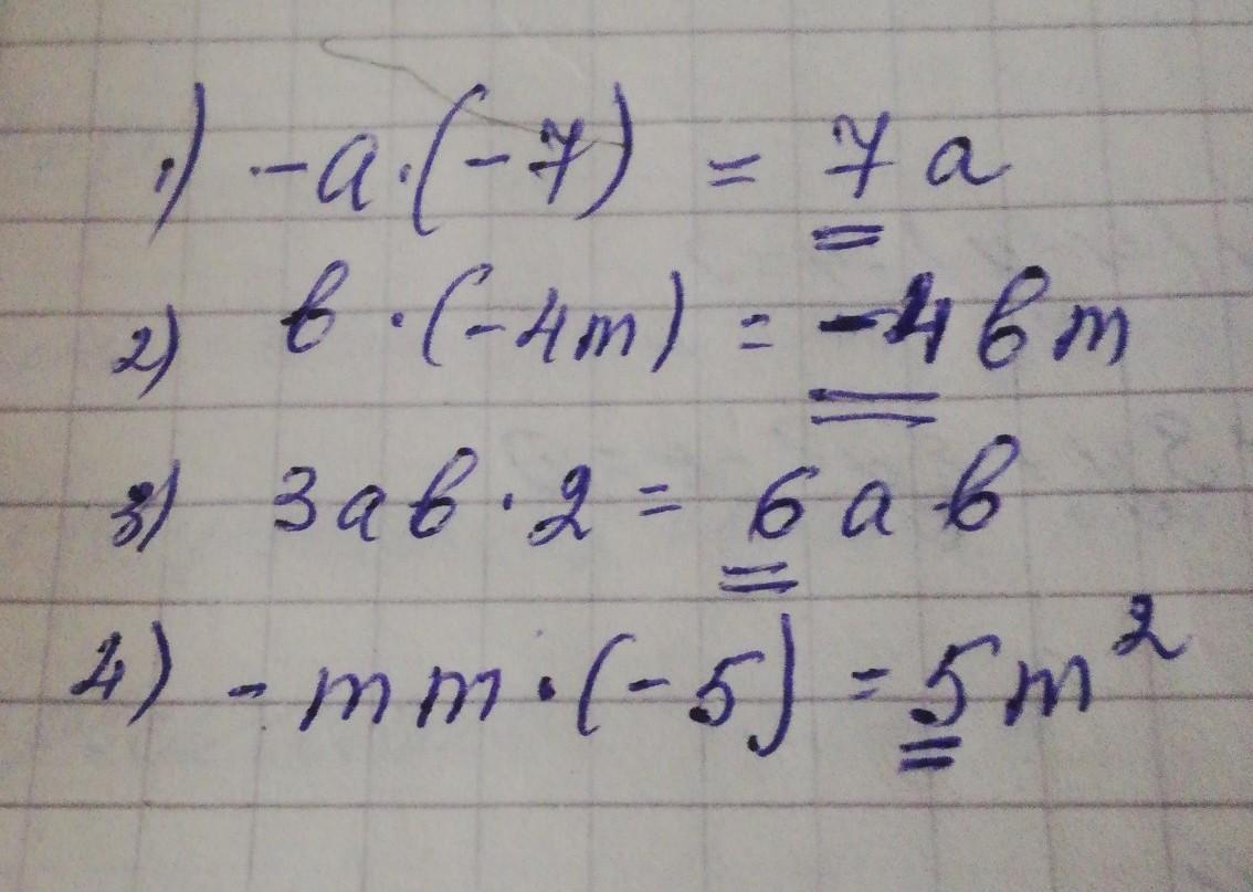
Упростить выражение и подчеркните его числовой коффициент.
а)-а*(-7)
б)b*(-4m)
в3аb*2
г)-mm*(-5)
Ответы
Ответ дал:
2
Ответ:
Смотри решение на фото..
Приложения:

SmartArisha:
И мне, помоги, пожалуйста, это срочнинько)) Ты мне уже помогала, помоги по возможности ещё)
Вас заинтересует
2 года назад
2 года назад
8 лет назад
8 лет назад