• Предмет: Алгебра
  • Автор: anastasiaromantsova3
  • Вопрос задан 7 лет назад

Помогите пожалуйста!!нужно срочно ((
Тема: Бесконечная геометрическая прогрессия.

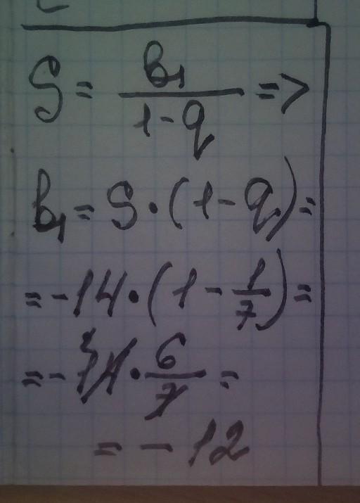
Найти b1 , если:
S = -14;
q = 1/7​

Ответы

Ответ дал: manyny06
1

Ответ:

решение смотри на фотографии

Приложения:
Ответ дал: Universalka
1

\displaystyle\bf\\S=-14\\\\\\q=\frac{1}{7} \\\\\\S=\frac{b_{1} }{1-q}\\\\\\b_{1} =S\cdot (1-q)=-14\cdot\Big(1-\frac{1}{7} \Big)=-14\cdot\frac{6}{7}=-2\cdot 6 =-12\\\\\\Otvet: \ b_{1} =-12

Вас заинтересует