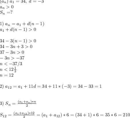
Арифметическая прогрессия задана а1= 34, d =-3. Найди сумму положительных членов этой прогрессии.
Я знаю, что правильный ответ 210, но мне надо само решение.
Ответы
Ответ дал:
0
Можно лучший ответ???
Приложения:
Вас заинтересует
2 года назад
2 года назад
3 года назад
3 года назад
8 лет назад
8 лет назад
10 лет назад