Ответы
Ответ дал:
0
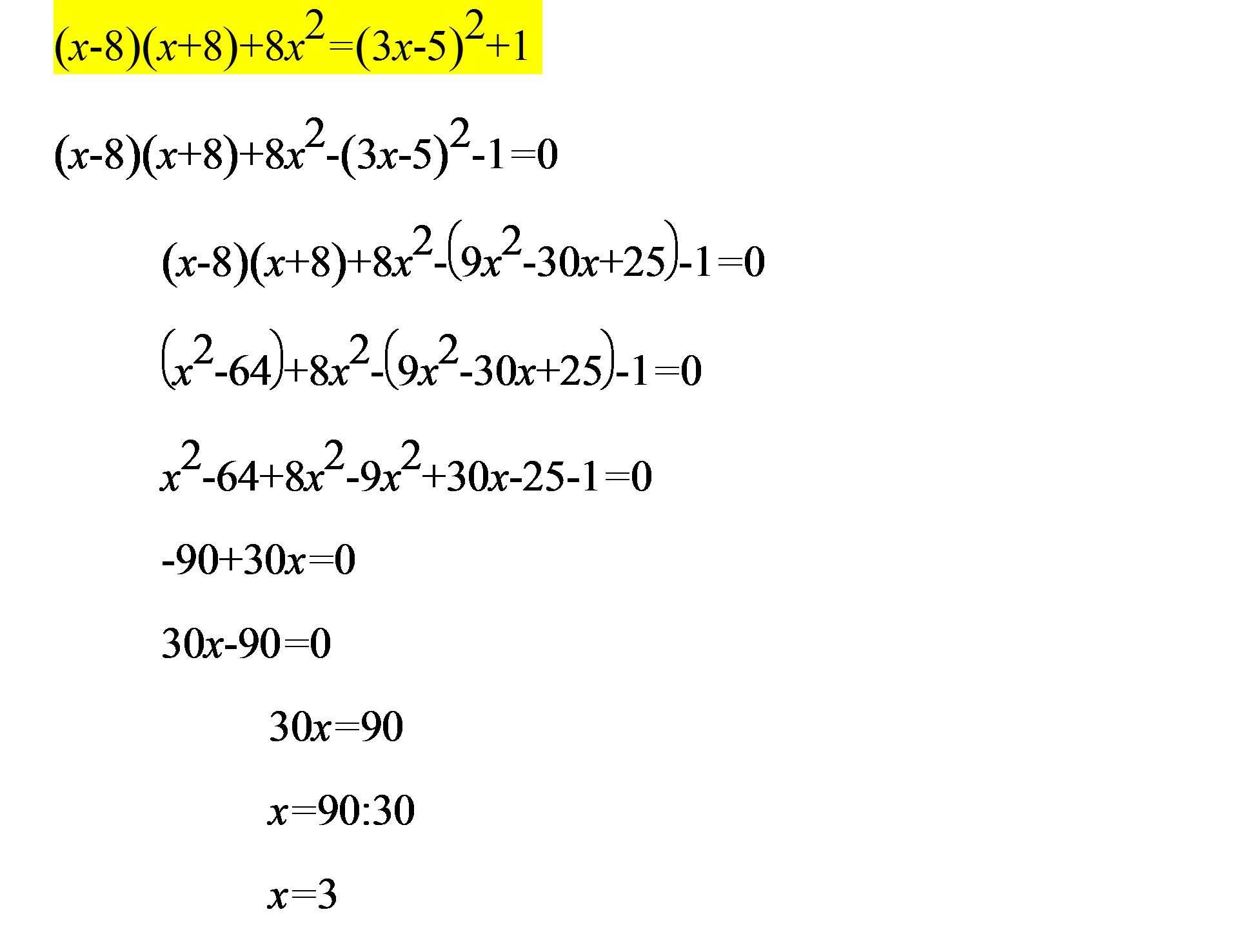
х²-64+8х²=9х²-30х+25+1
9х²-9х²+30х=26+64
30х=90
х=3
Ответ дал:
0
файл
=======================
Приложения:

Вас заинтересует
8 лет назад
8 лет назад
10 лет назад
10 лет назад
10 лет назад