• Предмет: Алгебра
  • Автор: anastiiana
  • Вопрос задан 7 лет назад

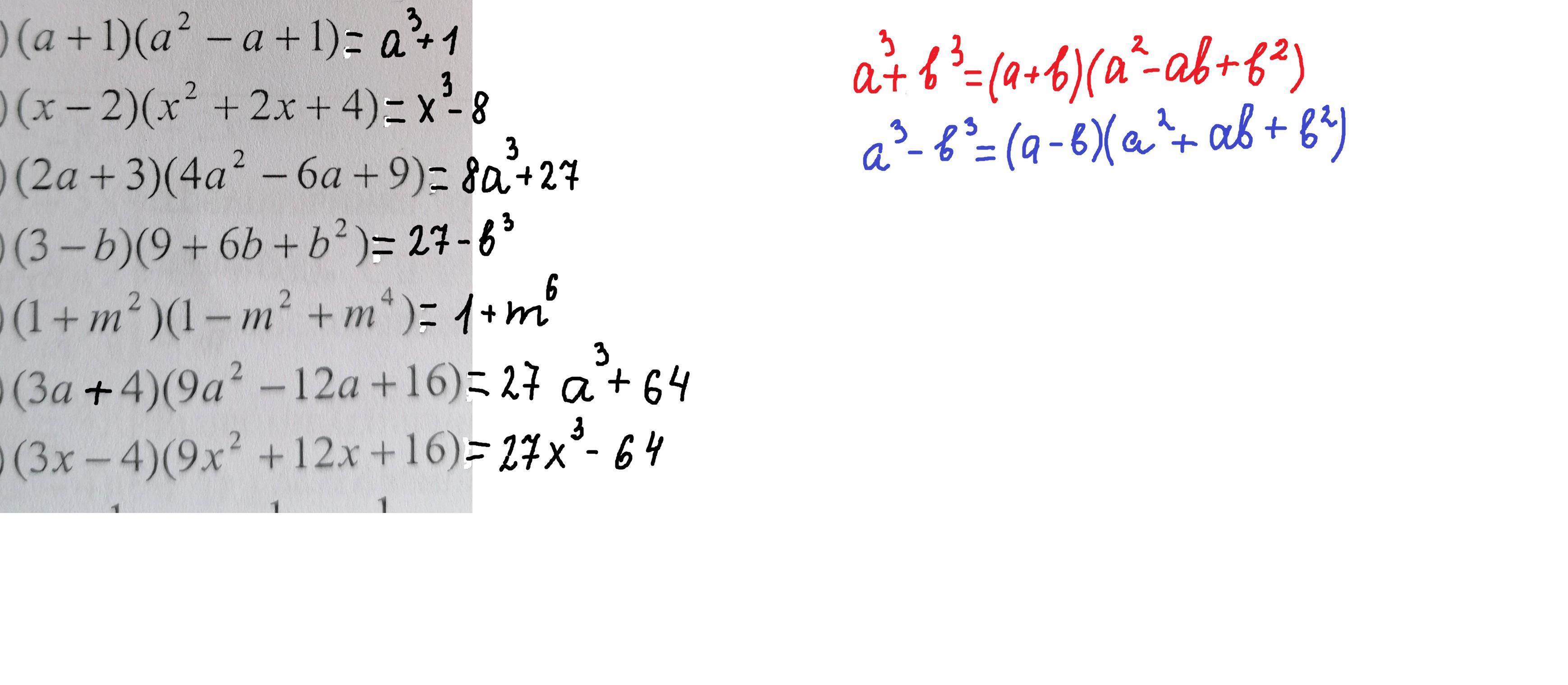
Сумма и разность кубов. решите, пожалуйста​

Приложения:

Ответы

Ответ дал: parus77
0

Ответ:

Объяснение:

решение по формуле внизу

Приложения:

anastiiana: благодарю))
parus77: пожалуйста.
Вас заинтересует