• Предмет: Алгебра
  • Автор: mraxim66
  • Вопрос задан 7 лет назад

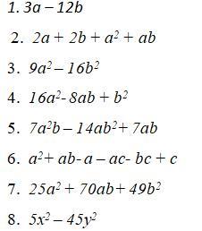
Решите пожалуйста с полным решением

Приложения:

Ответы

Ответ дал: koptseva44
1

Ответ:

нна фото

Объяснение:

Приложения:
Вас заинтересует