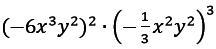
Представьте одночлен в стандартном виде. Укажите его коэффициент и степень.
Приложения:

Аноним:
и дай подробный ответ пж
Ответы
Ответ дал:
14
36x^6y^4•1/27x^6y^6=4/3x^12y^10
Коэффициент: 4/3
Степень: 12+10=22
Коэффициент: 4/3
Степень: 12+10=22
Вас заинтересует
2 года назад
2 года назад
2 года назад
2 года назад
8 лет назад
8 лет назад
9 лет назад