• Предмет: Алгебра
  • Автор: viskas42
  • Вопрос задан 7 лет назад

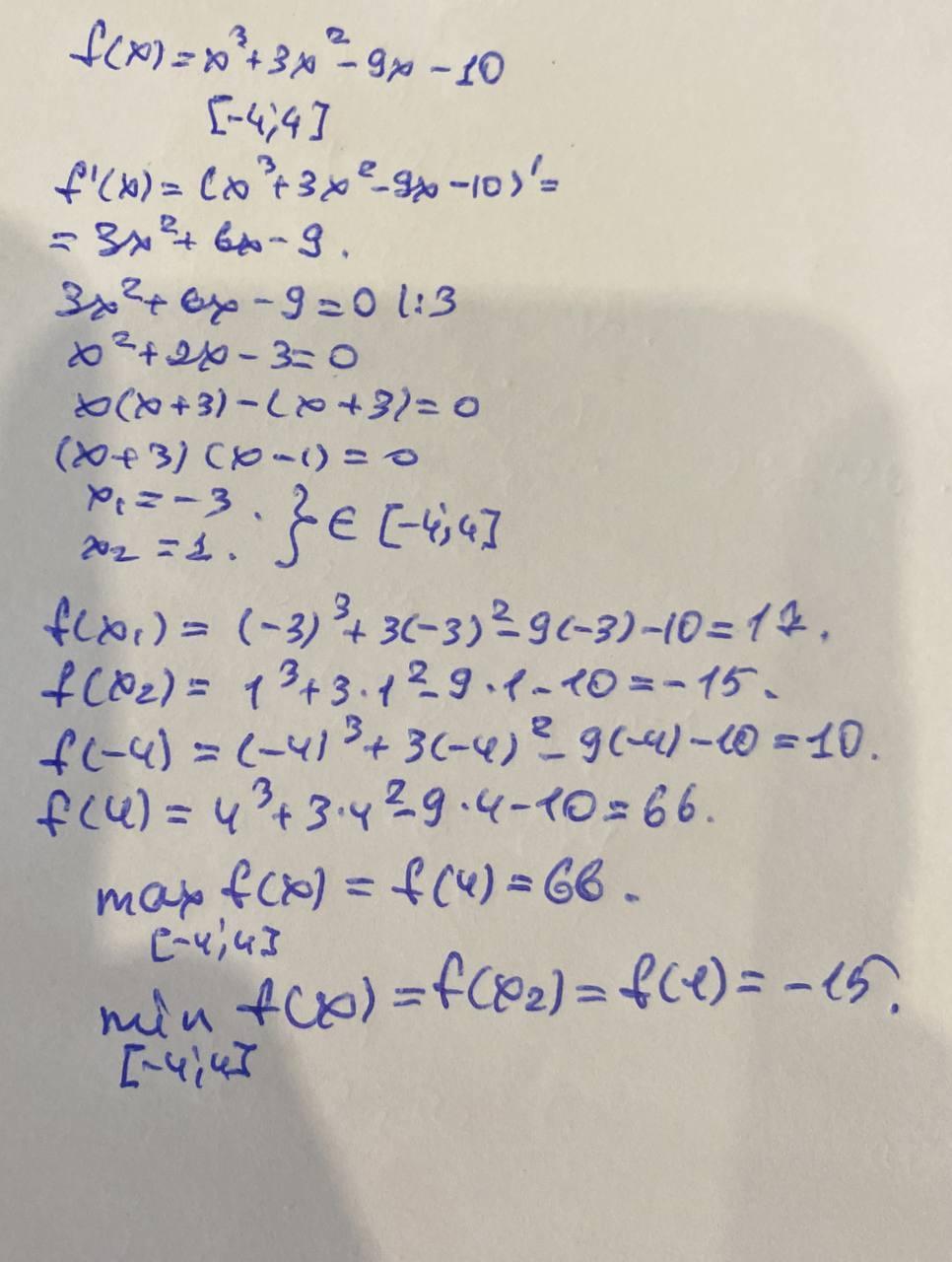
Знайдіть найбільше і найменше значення функції f(x) = x ^ 3 + 3x ^ 2 - 9x - 10 на відрізку [- 4; 4]
Найдите наибольшее и наименьшее значение функции f(x) = x^3 + 3x^2 - 9x - 10 на отрезке [-4; 4]​


Аноним: От хотіла допомогти, не буду.
viskas42: Зрозуміла, пробачте за фаш. мову(

Ответы

Ответ дал: yevheniiavz
1

дивіться фото...................

Приложения:

viskas42: Велике дякую(^^)
yevheniiavz: :)
Вас заинтересует