• Предмет: Алгебра
  • Автор: top4ik366
  • Вопрос задан 7 лет назад

Областю визначення періодичної функції y=f(x) з періодом Т=6 є множина дійсних чисел. чому дорівнює значення виразу 4f (-4) + 3f (14), якщо f (2) = 3?

Ответы

Ответ дал: Мишкабаянов
2

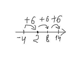
Якщо функція періодична , то це означає що через певний період в певних точці х значення у буде однаковим. Наприклад у нас дано що f (2) = 3, тоді f ( 2 + 6) , f (2 - 6) , f (2 + 6 + 6n) теж буде = 3. На малюнку показую це наочно.

Бачимо що -4 , це 2-6 , тому в точці -4 значення функції теж 3. А 14 це 2 + 6 + 6 , тобто теж буде повторюватися значення у. Маємо загалом: 4*3 + 3*3 = 12+9 = 21.

Приложения:
Вас заинтересует