• Предмет: Геометрия
  • Автор: abcde8
  • Вопрос задан 7 лет назад

помогите пж очень нужно геометрия 7 класс

Приложения:

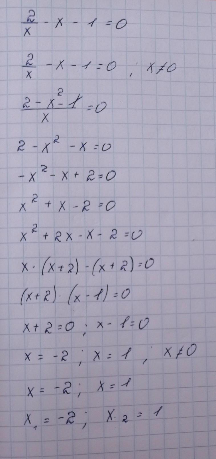
Ответы

Ответ дал: christinakob05
0

Объяснение:

відповідь на фотоооооооооооооооооооооооооооооооооооооооооооооооооо

Приложения:
Вас заинтересует