• Предмет: Математика
  • Автор: ustyakuliana
  • Вопрос задан 7 лет назад

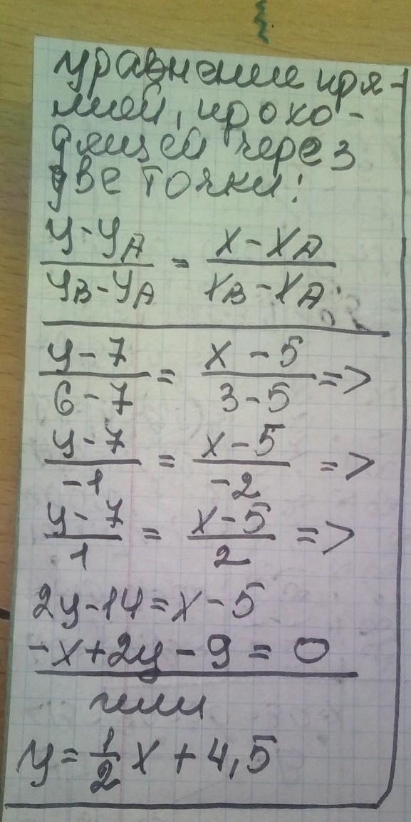
1. Складіть рівняння прямої, що проходить через дві точки А (5; 7), В (3; 6)

Ответы

Ответ дал: manyny06
1

Ответ:

решение смотри на фотографии

Приложения:

olha2746164: помоги пожалуйста в профиле умоляю
Вас заинтересует