• Предмет: Математика
  • Автор: olehbocko81
  • Вопрос задан 7 лет назад

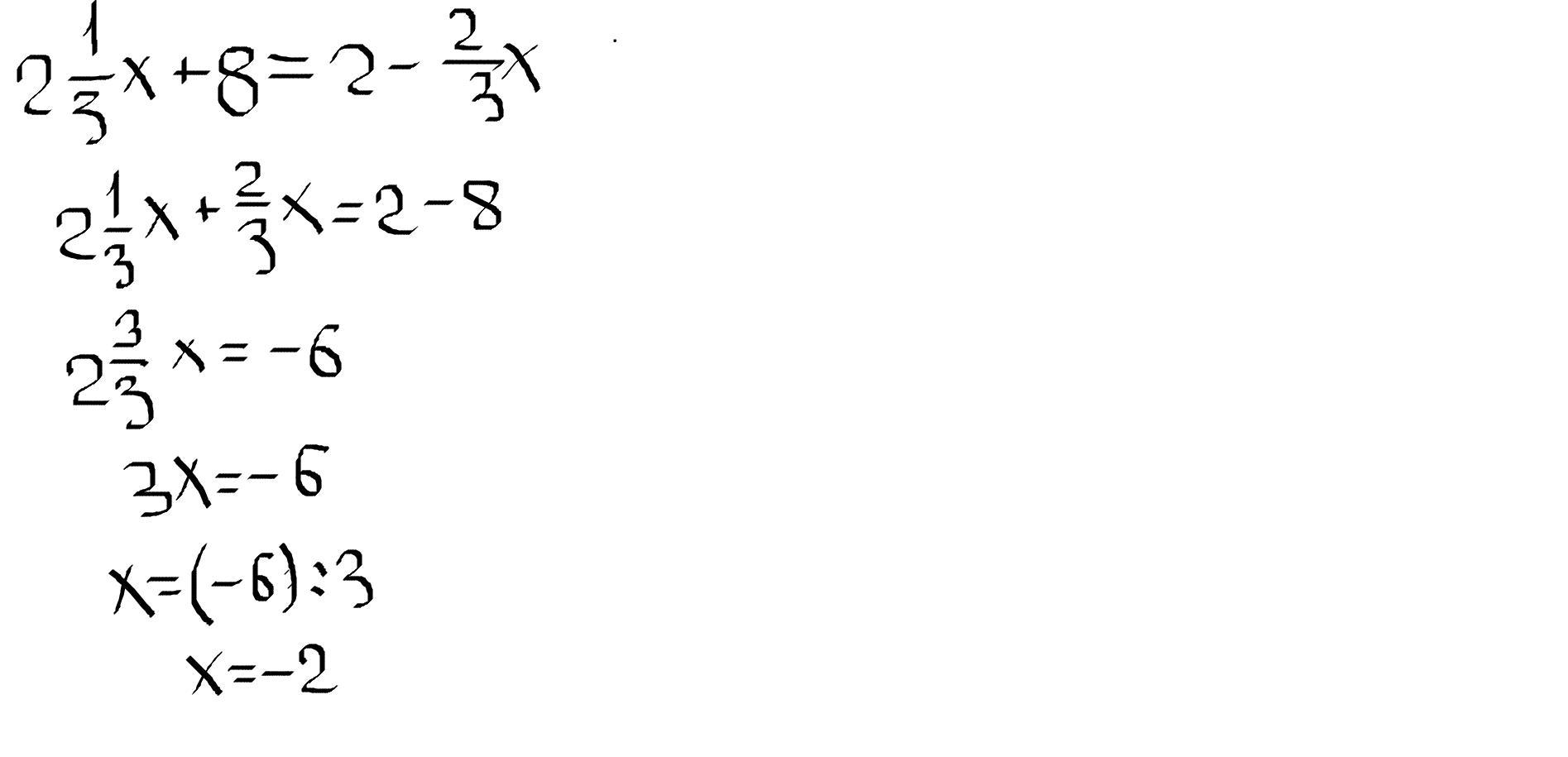
виконати рівнання: 2(1/3)х+8=2-2/3х​

Ответы

Ответ дал: TutorOnline
1

Ответ: х=-2

Пошаговое объяснение: на фото!

Приложения:

olehbocko81: Дуже дякую
TutorOnline: спс!!!
Ответ дал: kseniarykova818
1

Ответ:

2 1/3x+8=2-2/3x

2 1/3x+2/3 x =2+8

2 3/3x=-6

3x=-6

x=(-6):3

x=-2


olehbocko81: Дуже дякую
Вас заинтересует