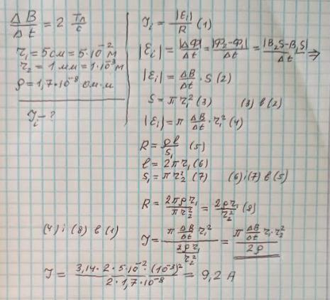
Мідне дротяне кільце розташоване горизонтально в однорідному вертикальному магнітному полі. Магнітна індукція поля змінюється зі швидкістю 2 Тл/с. Який індукційний струм виникає у кільце, якщо радіус кільця дорівнює 5 см, а радіус дроту –1 мм?
Ответы
Ответ дал:
0
Ответ: 9,2 А
Объяснение:
Приложения:

Вас заинтересует
2 года назад
2 года назад
2 года назад
2 года назад
8 лет назад
8 лет назад