• Предмет: Геометрия
  • Автор: olli45
  • Вопрос задан 7 лет назад

СРОЧНО! 50 баллов
Задача по геометрии:

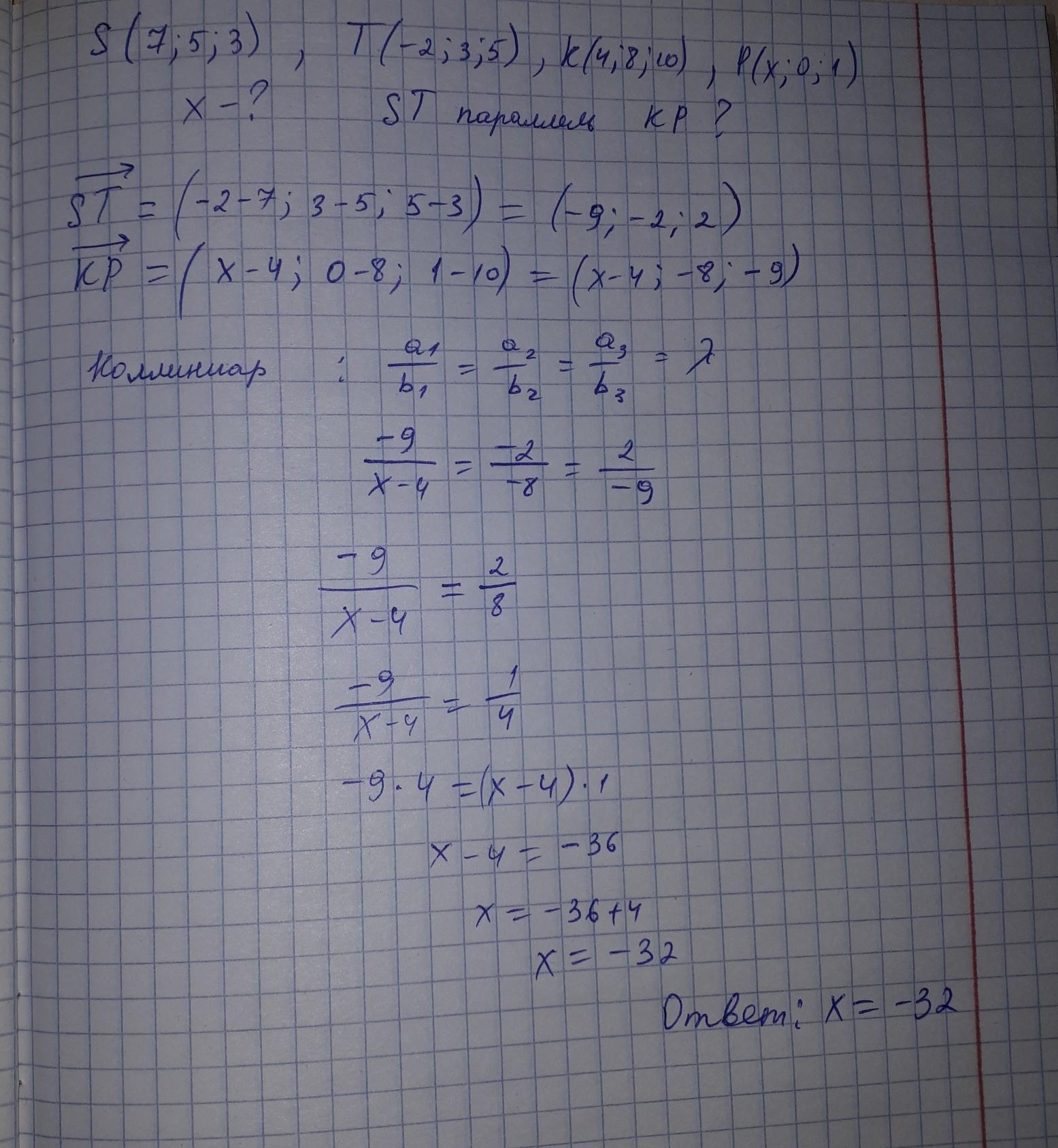
Даны точки: S (7;5;3), T (-2;3;5), K (4;8;10), P (x;0;1). При каком x ST параллельна KP?




...

Ответы

Ответ дал: shvaru
1

Объяснение:

Вектора называются коллинеарными векторами, если они параллельны одной прямой или лежат на одной прямой 

Приложения:

olli45: Спасибо Вам большое!
Вас заинтересует