• Предмет: Алгебра
  • Автор: Аноним
  • Вопрос задан 10 лет назад

Помогите с алгеброй пожалуйста
Задание во вложениях

Приложения:

Ответы

Ответ дал: Artem112
0
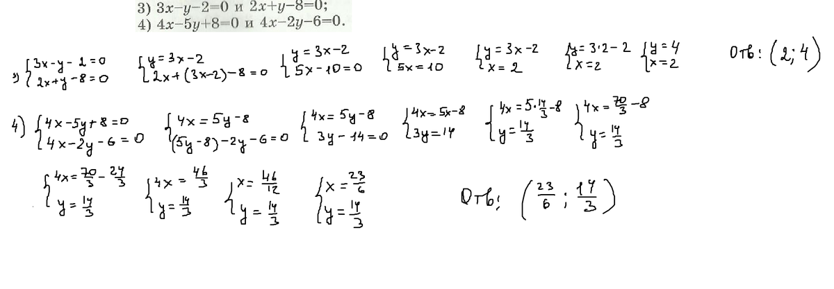
 left { {{3x-y-2=0} atop {2x+y-8=0}} right. 
\
5x-10=0
\
5x=10
\
x=2
\
3cdot2-y-2=0
\
y=6-2=4
Ответ: (2; 4)

 left { {{4x-5y+8=0} atop {4x-2y-6=0}} right. 
\
-3y+14=0
\
y= frac{14}{3} 
\
4x-5cdot frac{14}{3} +8=0
\
4x=frac{46}{3} 
\
x=frac{46}{12} =frac{23}{6}
Ответ: (23/6; 14/3)
Ответ дал: Аноним
0
ну и чо пи....н этим добился
Ответ дал: esmilya
0
Если понравилось решение - нажимай "спасибо" и "лучший" (рядом с кнопкой "спасибо") :)
Приложения:
Вас заинтересует