• Предмет: Алгебра
  • Автор: user746799
  • Вопрос задан 7 лет назад

2sin(a+n/3)cos(a-n/3)

Приложения:

Ответы

Ответ дал: Мишкабаянов
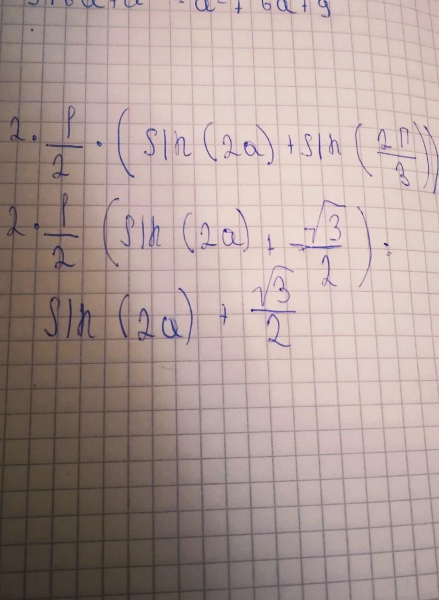
0

Решение на фото

////////////////

Приложения:
Ответ дал: Аноним
1

Ответ:

используя таблицу значений тригонометрических,вычисляем значение

Объяснение:

решение на фотографии.

Приложения:
Вас заинтересует