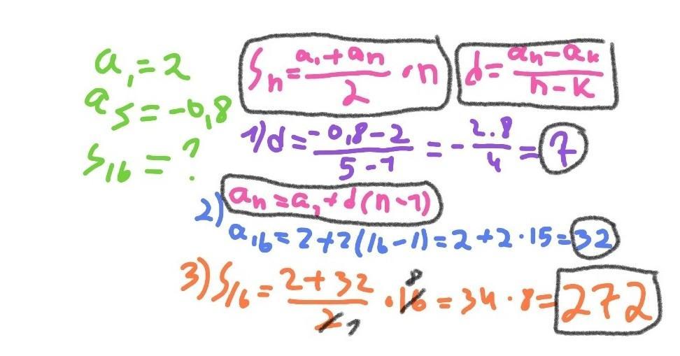
Знайти суму шістнадцяти перших членів арифметичної прогресії якщо перший член дорівнює 2,а п'ятий -0,8
Ответы
Ответ дал:
0
Ответ:
решение на фото.
Пошаговое объяснение:
надеюсь,все понятно.
Приложения:

Вас заинтересует
2 года назад
2 года назад
2 года назад
8 лет назад
8 лет назад
9 лет назад