‼️Срочно‼️ ДАЮ 50 баллов
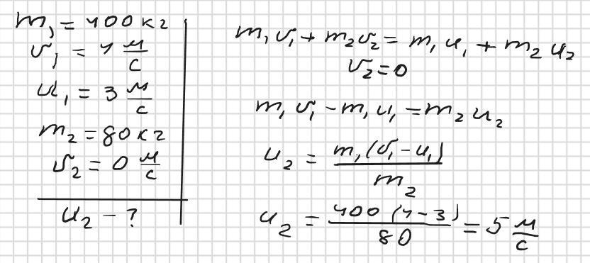
Ковбой намагається зупинити бика, що пробігає поруч, накидаючи на роги бику ласо (петля або аркан). З якою швидкістю почав рухатись ковбой після накидання ласо, якщо відомо, що маса бика 400 кг, а його швидкість зменшилась з 4 м/с до 3 м/с. Ковбой спочатку був нерухомим. Маса ковбоя 80 кг.
Ответы
Ответ дал:
4
Ответ: 5 м/с
Объяснение:
Приложения:

Вас заинтересует
2 года назад
2 года назад
2 года назад
2 года назад
8 лет назад
9 лет назад