• Предмет: Математика
  • Автор: nuraliibragimov86
  • Вопрос задан 7 лет назад

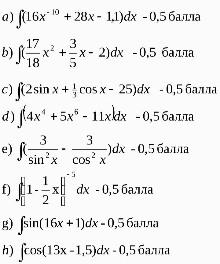
Помогите пожалуйста с интегралами очень срочно нужен ответ

Приложения:

Ответы

Ответ дал: shvaru
0

Ответ:

abcdefgh

Пошаговое объяснение:

photo интеграл

Приложения:
Вас заинтересует