• Предмет: Алгебра
  • Автор: Аноним
  • Вопрос задан 7 лет назад

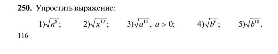
2 и 4 номер сделайте пж.​

Приложения:

Ответы

Ответ дал: sergeevaolga5
1

Ответ:

2)\; x^6\\\\4)\; |b^3|

Решение:

Используем правило: \sqrt{a^2}=|a|

2)\; \sqrt{x^{12}}=\sqrt{(x^6)^2}=|x^6|=x^6

4)\; \sqrt{b^6}=\sqrt{(b^3)^2}=|b^3|

Объяснение:

|x^6|=x^6 , т.к. 6 - четная степень

|b^3| - окончательный ответ, т.к. при b>0  b³>0, при b<0  b³<0

Вас заинтересует