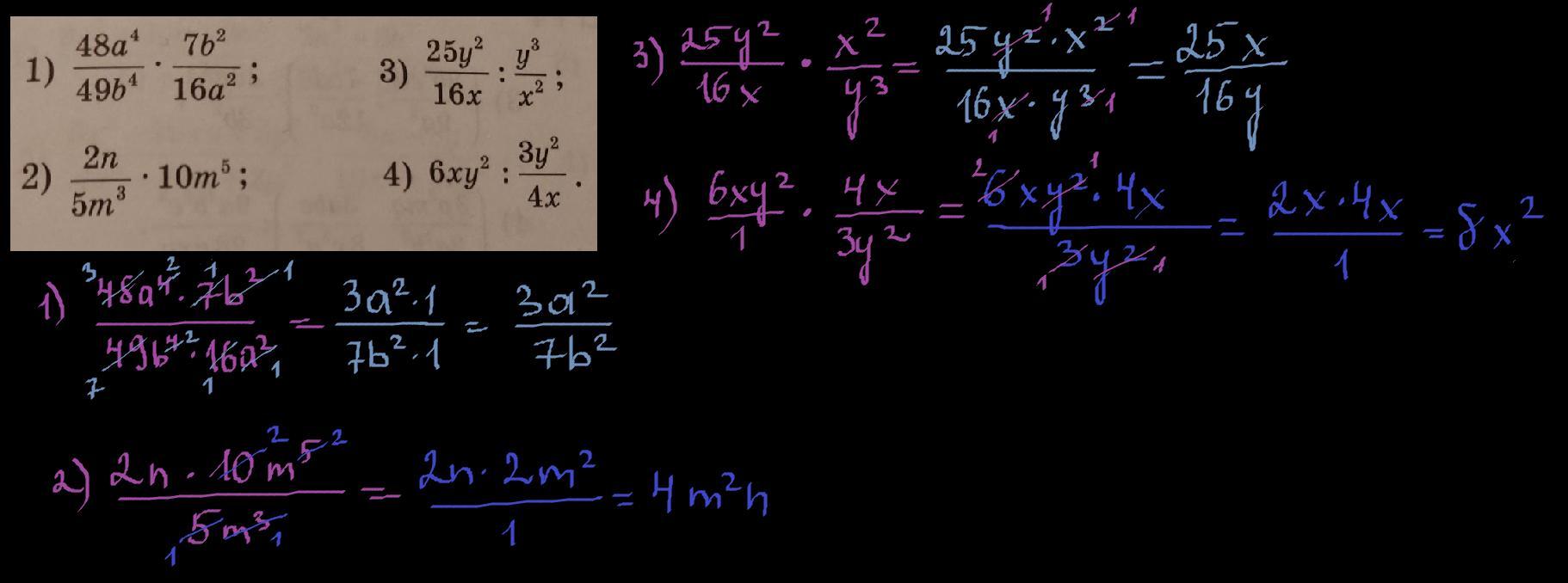
6.68. 1) 48a 762 4964 16a 2 : 3) 25y?. y 16x : x2 2 ; х 2n 2 2) · 10m; . 2. 3y? 4) 6xy? : 5m3 4x
Приложения:

Ответы
Ответ дал:
16
Пошаговое объяснение:
Решение на фото!
Приложения:

kateIIImathematics:
Буду благодарна, если поставите 2лучший ответ" :)
Вас заинтересует
2 года назад
2 года назад
2 года назад
8 лет назад
8 лет назад
9 лет назад