• Предмет: Алгебра
  • Автор: fokib54
  • Вопрос задан 7 лет назад

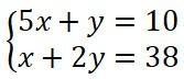
Розв’яжіть систему рівнянь?​

Приложения:

Ответы

Ответ дал: yevheniiavz
1

Дивіться фото........................

Приложения:
Вас заинтересует