• Предмет: Алгебра
  • Автор: ElectronGirl
  • Вопрос задан 7 лет назад

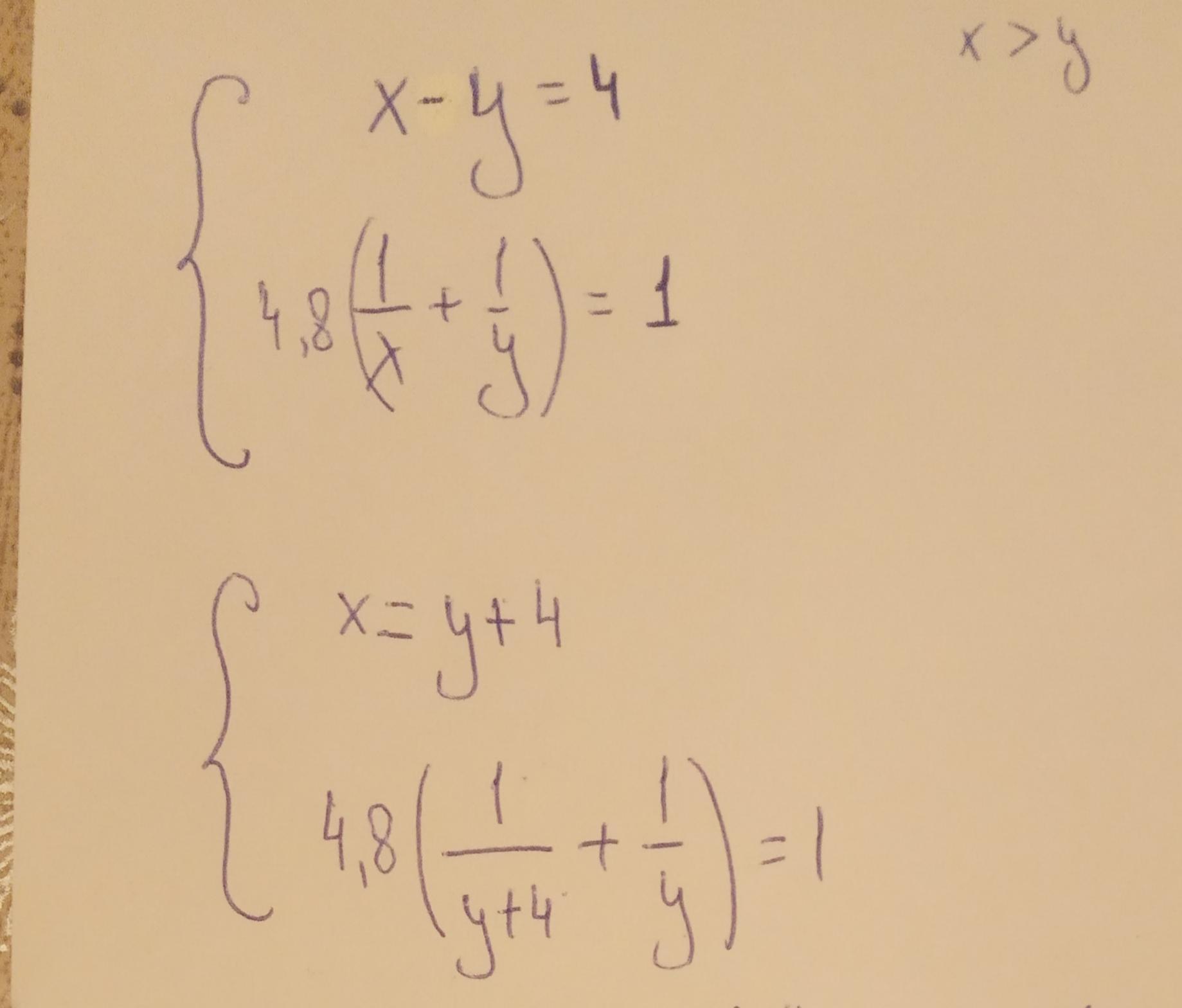
Дорешать систему. Ответ должен быть 12 и 8. Без Photomath. Спасибо (. ❛ ᴗ ❛.) До 23:00 мск, макс. до завтра 6:00мск

Приложения:

Ответы

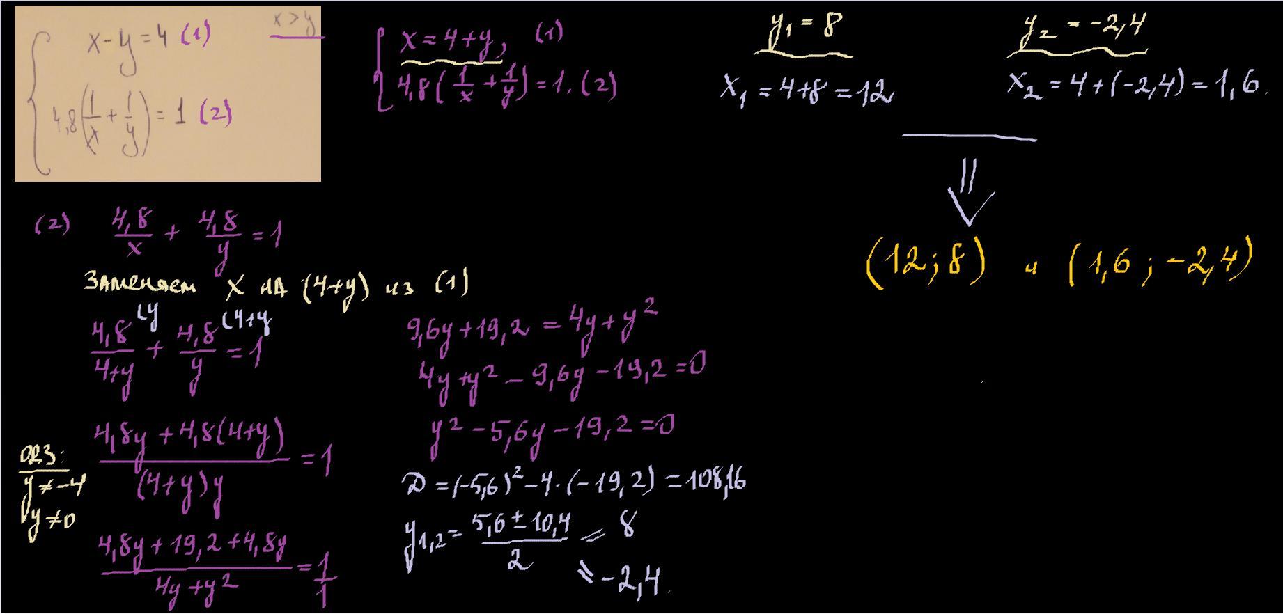
Ответ дал: podkorytovaelena94
1

Ответ:

продолжаю твою систему

4.8(\frac{1}{y+4} + \frac{1}{y}) = 1\\ \frac{y+4+y}{y(y+4)  }   = \frac{1}{4.8}\\\frac{2y+4}{y(y+4)} =   \frac{5}{24} \\24(2y+4) = 5y(y+4)\\48y + 96 = 5y^2+20y\\5y^2 -28y - 96= 0\\D = 784 +4*5*96 = 2074 = 52^2\\y_{1} = (28 + 52) : 10 = 8\\y_{2}  = (28-52):10 = -2.4\\x_{1}  = 8+4 = 12\\x_{2}  = -2.4+4 = 1.6

Ответ дал: kateIIImathematics
1

Объяснение:

Решение на фото!

Буду благодарна за "Лучший ответ" :)

Приложения:
Вас заинтересует