• Предмет: Математика
  • Автор: Andreikaua8620
  • Вопрос задан 7 лет назад

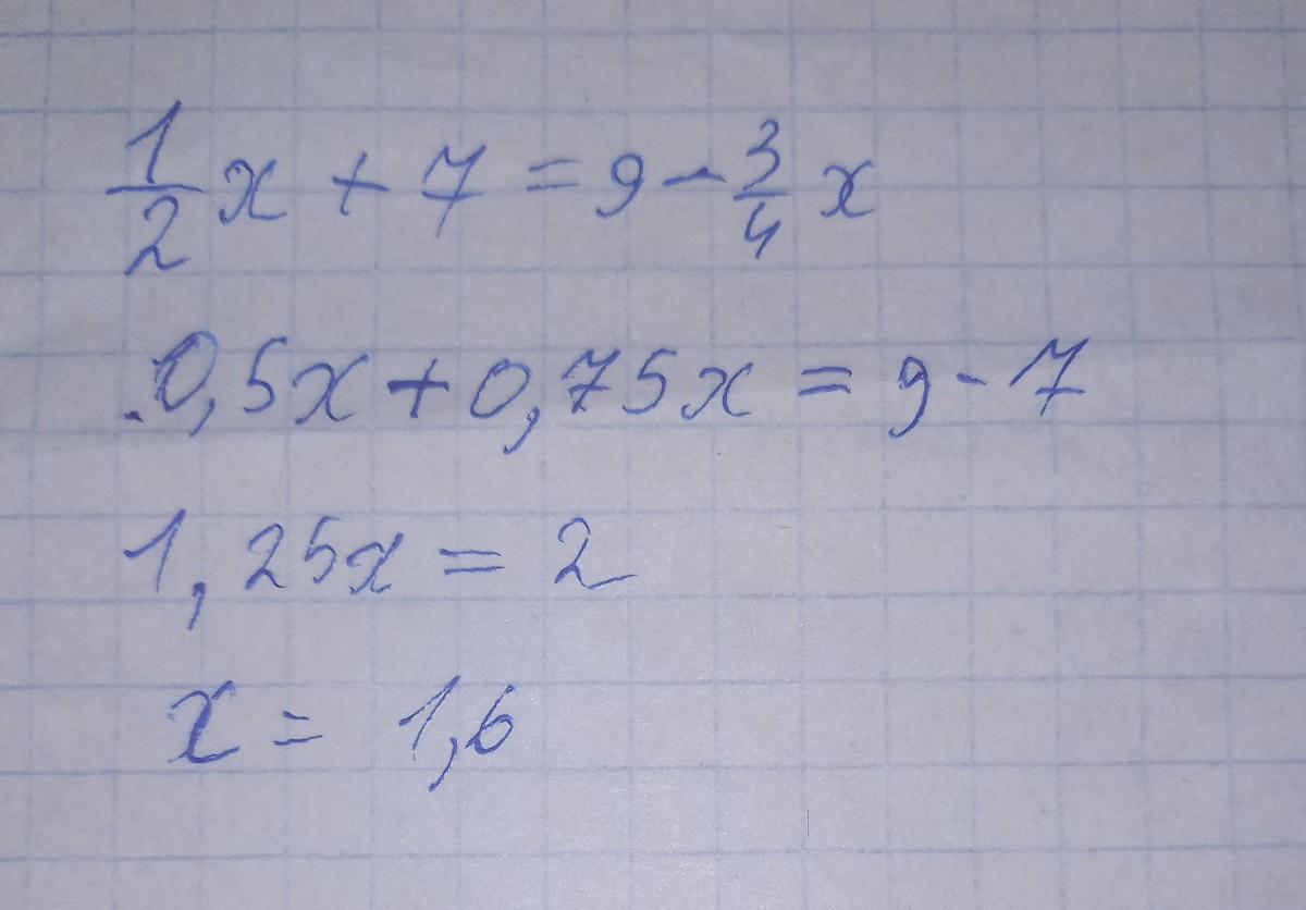
помогите пожалуйса 1/2x+7=9-3/4x

Ответы

Ответ дал: Terminator23490
0

Ответ:

Ответ на картинке.

Пошаговое объяснение:

Для начала x -ы влево, числа вправо

Потом переводим обыкновенные дроби в десятичные

Складываем 0,5x и 0,75x и от 9 отнимаем 7, получается 1,25x = 2

Чтобы найти x, надо 2 поделить на 1,25

и находим, что х = 1,6

Можно лучший ответ плиз.

Приложения:
Вас заинтересует