Ответы
Ответ дал:
1
Ответ:
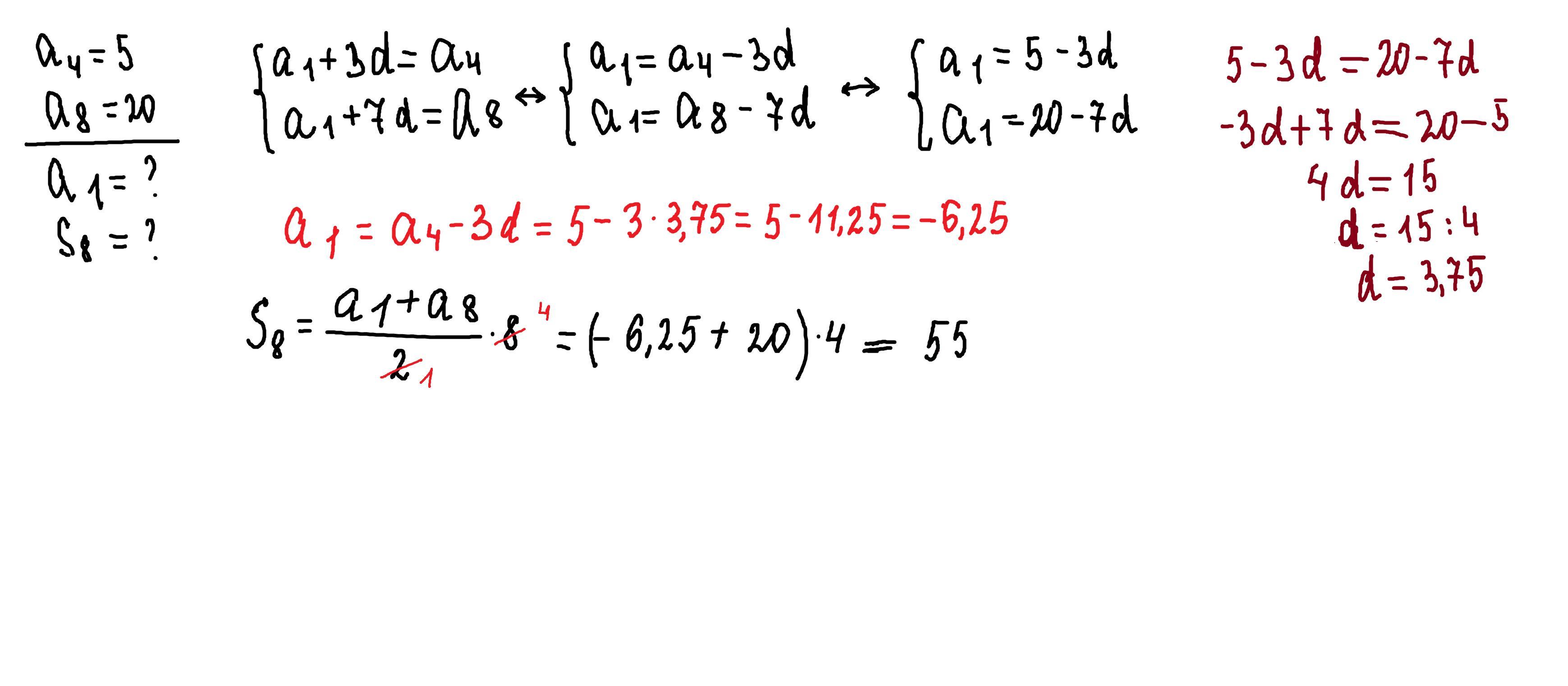
а1= -6,25 S8=55
Объяснение:
решение внизу
если где то непонятно- напишите.
Приложения:

Вас заинтересует
2 года назад
2 года назад
2 года назад
8 лет назад
8 лет назад
9 лет назад
9 лет назад