• Предмет: Математика
  • Автор: antoinette01
  • Вопрос задан 7 лет назад

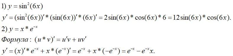
Найдите производную сложной функции срочно

Приложения:

Ответы

Ответ дал: yevheniiavz
1

дивіться фото.........................

Приложения:
Вас заинтересует