Ответы
Ответ дал:
0
Если понравилось решение - нажимай "спасибо" и "лучший" (рядом с кнопкой "спасибо") :)
Приложения:
Ответ дал:
0
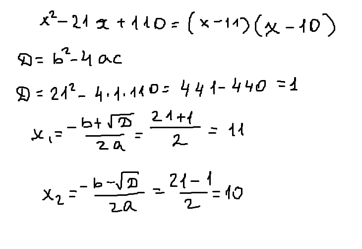
x^2-21x+110=(x-10)(x-11)=0
x=10
x=11
D=441-440=1
x12 = (-21+-1)/2=10 11
x=10
x=11
D=441-440=1
x12 = (-21+-1)/2=10 11
Приложения:
Вас заинтересует
3 года назад
8 лет назад
11 лет назад
11 лет назад
11 лет назад
11 лет назад