• Предмет: Алгебра
  • Автор: buryanmarina
  • Вопрос задан 7 лет назад

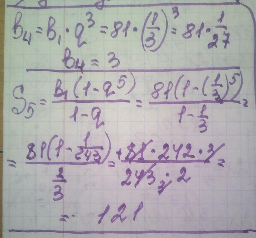
Знайдіть четвертий член і суму перших п'яти членів геометричної прогресії, якщо b1 = 81 і g=1/3

Ответы

Ответ дал: manyny06
0

Ответ:

решение смотри на фотографии

Приложения:
Вас заинтересует