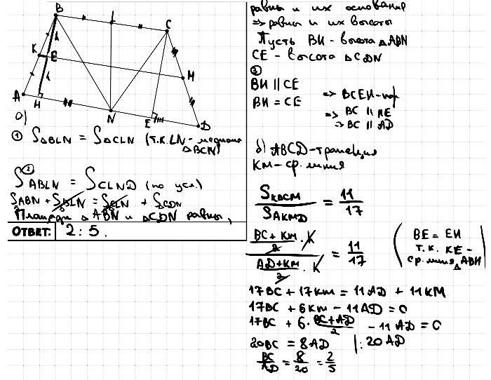
В выпуклом четырёхугольнике АBCD точки K, L, М и N - середины сторон AB, BC, CD и AD AD соответственно.
Площади четырёхугольников ABLN и NLCD равны, а площади четырёхугольников KBCM и AKMD относятся как 11 : 17.
a) Докажите, что прямые ВС и AD параллельны.
б) Найдите отношение ВС к AD.
Аноним:
щас ришу ))
Ответы
Ответ дал:
11
Ответ: 2:5
Объяснение:
На фото!
Приложения:

Вас заинтересует
2 года назад
2 года назад
2 года назад
8 лет назад
8 лет назад
9 лет назад